计算基板及薄膜nk的功能
除了常规的单层膜nk分析外,现在还可以计算基板和金属膜的nk。
从主窗口的选单中,选择[工具]-[基板及单层膜的nk分析]
- 计算无吸收的基板的折射率(n)
计算没有膜的基板的折射率。
在基板上无吸收时使用。
需要是单面mat基板或双面研磨基板。 - 计算具有吸收作用的基板的折射率(n),吸收系数(k)和内部透射率(Ti)
在基板上有吸收时使用。
需要是单面mat基板或双面研磨基板。 - 单层膜的nk分析
从光谱反射率和光谱透射率,通过对色散公式进行曲线拟合来分析膜的n,k和膜厚度(d)。
添加了仅分析正常色散(折射率随波长变短而增加色散)的选项。 - 单层金属薄膜的nk计算
由正面反射率和背面反射率算出金属膜的nk。
膜必须足够厚且透射率为零。
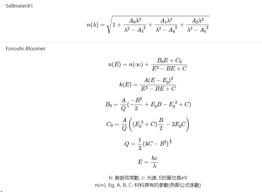
追加色散公式

制造误差分析
在切换图形类型或诸如Ra,Rs,Rp,Ta ...之类的类型时,将使用相同的随机数进行重新计算。如果要使用不同随机数,更改设计值或切换图纸,请按执行按钮。
此外,现在可以分析Stack制造误差。显示Stack窗口时,将计算Stack制造误差。 关闭Stack窗口时,将计算单侧(主窗口的)的制造误差。
最适化
现在,当目标类型为连续时,您可以目标平均值。
下图是一个示例,其中波长500 nm至600 nm的Ra平均值目标为50%。

EMAX玻璃数据导入
现在,您可以导入光学设计软件ZEMAX的玻璃数据(AGF文件)。
[档案] – [导入] – [导入Zemax OpticStudio Glass目录(AGF文件)]
玻璃数据更新
玻璃数据已更新为最新版本。
SCHOTT: 2019年1月版
OHARA: 2020年8月3日版
HOYA: 2020年3月14日版
HIKARI: 2020年4月1日版
SUMITA: 2020年7月15日版
CDGM: 2020年9月版
设计数据样本
添加了设计数据样本。
Bug修复
我们通过减少内存使用量来提高了操作的稳定性。
解决了在中心波长和入射角字段中难以输入小数点的问题。
解决了输入滤光片波长时气相沉积控制可能长时间不响应的问题。
其他小的错误修复程序已完成。
规格变更
在颜色计算中,色度图(图形)的纵横比已更改为固定显示。
如果要使用传统的显示方法,请到[曲线图格式设定]-[选项],然后取消选取“固定图形的纵横比”。
从主窗口选单中选择[工具]-[记忆窗口位置]来保存所有的窗口位置(已废除主窗口选单中的[记忆此窗口位置])。